嫦娥六号揭示月球上存在太阳风吹起来的负离子
央视新闻 2026-03-18 07:08:31
近日,中国科学院国家空间科学中心领衔的国际团队利用嫦娥六号着陆器搭载的负离子分析仪(NILS),首次在月球表面直接探测到太阳风与月表相互作用产生的负离子,揭示了其通量与能量与太阳风参数密切相关,并模拟了其在月球周围的空间分布特征。
宇宙中超过99%的可见物质以等离子体形式存在,通常由正离子和电子组成。然而,负离子同样存在于各类天体物理环境中并发挥重要作用。例如,在太阳外层大气中,负离子是引起可见光波段不透明度的主导因素。在早期宇宙中,H⁻离子可通过缔合脱附反应快速产生分子氢,促进了第一代恒星的形成。在行星环境中,多个任务曾在彗星、火星的电离层中利用电子探测器间接探测到负离子,证明了负离子是行星电离层的重要组成部分。尽管理论上预期月球环境中也可能存在负离子,但长期以来由于缺乏直接观测证据,其是否存在以及分布特征是怎样的一直困扰着人们。
月球是无大气天体代表,太阳风可直接轰击月表。近年来研究结果表明,太阳风质子打到月壤后,大部分被注入风化层中,约10%–20%以能量中性原子(ENA)形式散射,约0.1%–1%以正离子形式反射。此外,理论和实验室研究还预期,部分质子可能在散射过程中捕获第二个电子形成负离子(H⁻)。然而,由于光致解吸作用,H⁻在太阳辐射下极易失去电子而消散,因此难以存活到环月轨道器高度,导致以往的月球轨道探测任务未能捕捉到负离子信号。而月表就位探测可以在负离子产生的源区附近直接测量,是突破这一瓶颈的关键手段。嫦娥六号着陆器上搭载了一台由瑞典空间物理研究所和中国科学院国家空间科学中心联合研制的负离子分析仪(NILS),这是国际首个地外空间专用负离子探测器,它在两天观测时间内获得了六段有效的H⁻能谱数据,实现了人类首次在月球表面对负离子的直接探测。
嫦娥六号NILS仪器观测示意图
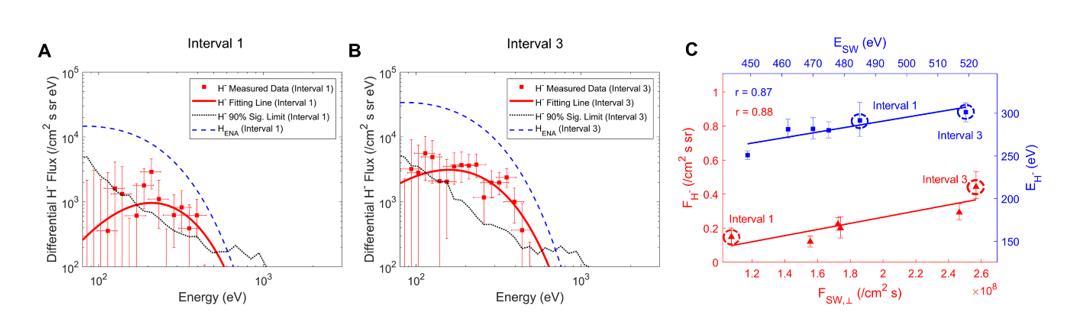
最近来自中国科学院国家空间科学中心科研团队与国内外单位合作,将NILS获取的H⁻能谱与ARTEMIS卫星同期观测的上游太阳风参数进行了系统分析。结果显示,H⁻积分通量与太阳风法向通量之间存在强正相关(r=0.87),H⁻平均能量与太阳风能量同样呈强正相关(r=0.88)。这些结果为其起源于太阳风与月表相互作用提供了直接观测证据。此外,H⁻平均能量集中在250–300 eV,说明这些负离子主要由太阳风在月表的散射过程产生。
H⁻能谱及其与太阳风参数的相关性
为评估H⁻对月球空间环境的影响,本研究进一步模拟揭示了其空间分布特征。在向阳面,由于光致解吸效应,H⁻被限制在紧贴月球表面的薄层内,密度随高度迅速衰减。在背阳面,由于该区域处于月球阴影区内无太阳光照,光致解吸效应消失,H⁻被电磁场拾起后可形成延伸数个月球半径的长负离子尾。这一新发现的带电粒子组分可参与填充月球尾迹区的等离子体空腔。在极端太阳风密度事件期间,H⁻密度可比正常条件高出10倍以上,其可能对月球空间环境带来显著影响,比如产生一些等离子体波动等。
不同太阳风条件下H⁻密度的模拟空间分布
除了对等离子体环境的直接影响外,负离子还可能通过化学反应产生分子氢(H₂)或羟基(OH),从而为月球外逸层和月表水提供潜在的新来源。此外,考虑到月壤的多孔结构,从一个颗粒出射的H⁻可能轰击相邻颗粒并向其注入电子,促进局部还原反应,可能对纳米铁的形成有一定贡献。这些发现还可推广到其他无大气天体。在离太阳更远的天体环境中,如土星和木星的冰卫星,太阳辐射更弱,负离子可拥有更长的存活时间和更高的浓度,可能扮演更加重要的角色。
该研究利用嫦娥六号NILS的首次月表负离子观测数据,发现了H⁻通量和能量与太阳风参数的强相关性,为月表H⁻起源于太阳风散射过程提供了直接观测证据。结合测试粒子模拟,揭示了月球向阳面存在负离子层、背阳面形成负离子尾的空间结构特征。这些结果大大提高了人们对月球等离子体环境的认识,并为研究月表太空风化以及外逸层提供了新的视角,同时也为研究其他无大气天体的负离子产生机制和分布特征提供了重要参考。
(央视新闻)
责任编辑:朱洪蕾
