滨州市公安局交通管理支队关于机动车驾驶证逾期未换证、逾期未提交身体条件证明的公告
大众新闻·海报新闻 卢志强 2026-04-22 15:35:43
滨州市公安局交通管理支队关于机动车驾驶证逾期未换证、逾期未提交身体条件证明的公告
各相关机动车驾驶人:
根据《中华人民共和国道路交通安全法》及其实施条例、《机动车驾驶证申领和使用规定》(公安部令第172号)等相关法律法规,下列机动车驾驶人(详见附件名单)所持驾驶证已超过有效期未换证,或已逾期未提交身体条件证明。为确保您的驾驶证状态正常,保障合法驾驶权益,请名单中的驾驶人见此公告后,及时到具备机动车驾驶人体检资质的医疗机构体检,取得身体条件证明后,可登录“交管12123”APP在线提交本人驾驶证期满换证申请,也可以到业务窗口办理提交身体条件证明或驾驶证期满换证业务。
滨州市公安局交通管理支队
2026年4月22日
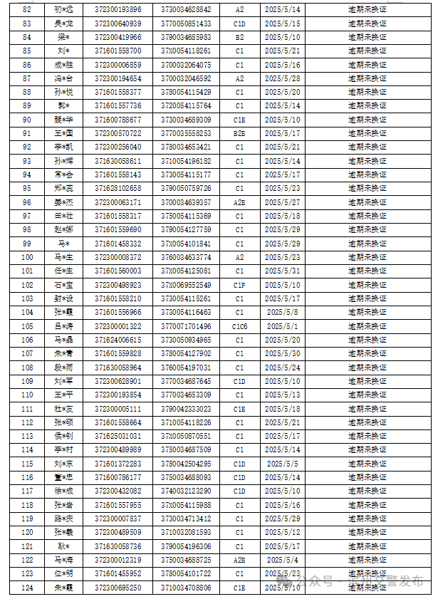
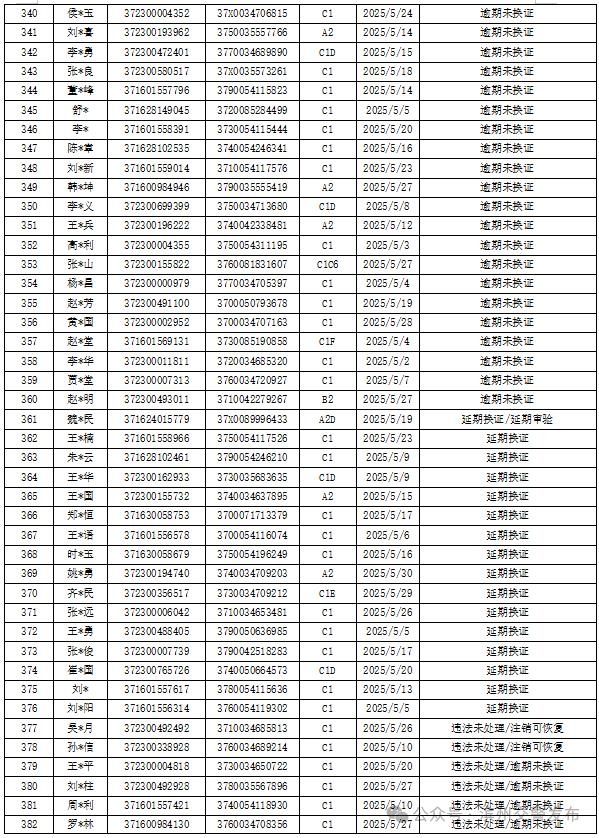
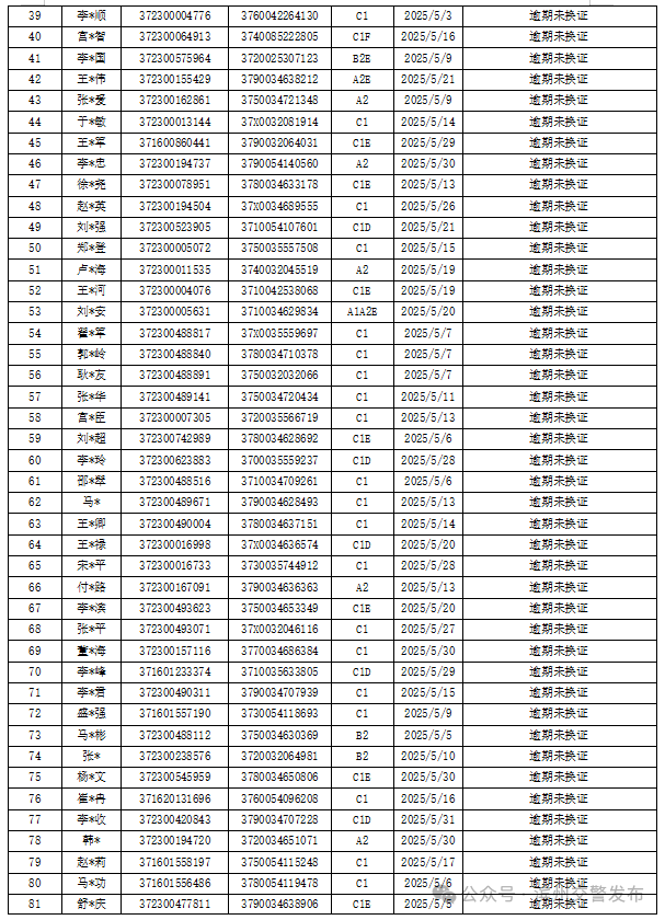
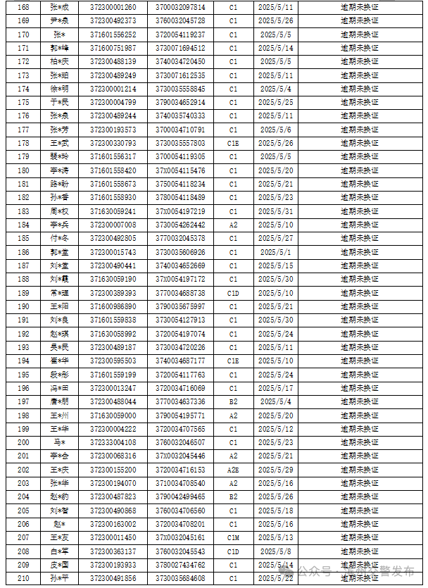
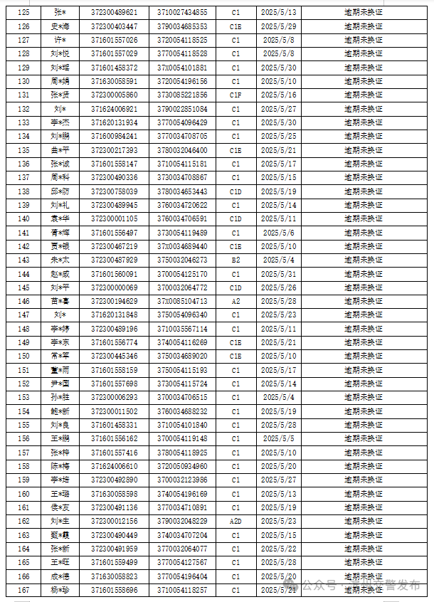
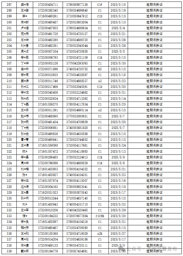
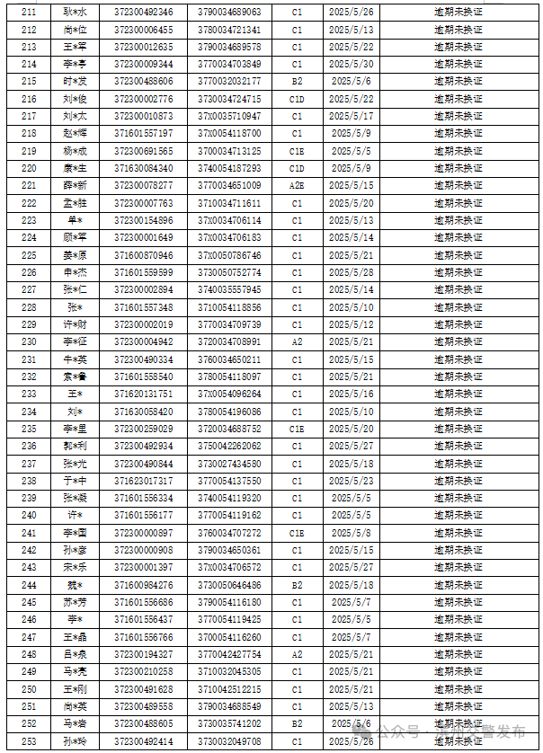
机动车驾驶证逾期未换证、逾期未提交身体条件证明名单(395人)
滨州市机动车驾驶人体检医院分布一览表
责任编辑:卢志强
